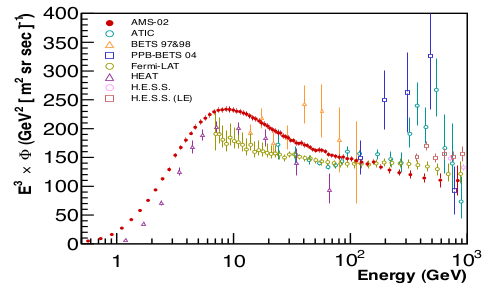
![Plot of the latest AMS-02 results (red) compared with other experiments. [Credit: CERN]](https://galileospendulum.org/wp-content/uploads/2014/09/ams_plot2.png?w=492&h=290)
But caution is still essential, and when the press release for the latest Alpha Magnetic Spectrometer (AMS-02) results crossed my desk late last week, I was struck first by the huge difference between the tone of the piece and the actual data. The release emphasized new domains for cosmic ray data, and “tantalizing” hints about dark matter discovery, but the actual data seemed…underwhelming to me. As I wrote in The Daily Beast,
If the extra positrons are due to [dark matter] annihilations near the Milky Way’s center, then their number and energy should depend on the mass of dark matter particles. That’s a consequence of E = mc2: the destruction of dark matter particles converts mass (m) into energy (E), some of which might get turned back into mass in the form of electrons and positrons. At some maximum energy, there won’t be enough available energy from annihilation to make new positrons, so experiments should see a sharp decrease in positron numbers beyond that maximum.
However, AMS-02 isn’t seeing that drop off yet. In fact, the data seem to show positron counts leveling off at high energy, but things are still pretty messy. [Read more…]
Yes, AMS-02 has been measuring elevated positron emissions (seen also in data from PAMELA and other experiments), but from what I can see, any trend — much less any conclusions about dark matter one way or another — is based less on evidence than on wishful thinking. The AMS-02 team obviously really really really wants there to be a sign of dark matter annihilation, but their results basically show a continuation of the same trend they demonstrated in their first data release, which I covered for Ars Technica last year.
![The results from the first AMS-02 release, last year. [Credit: AMS collaboration]](https://galileospendulum.org/wp-content/uploads/2014/09/ams_power_spectrum.jpg?w=1024&h=784)
